Die Facetten des Mountainbikens sind grenzenlos: Lange Touren, entspanntes Cruisen auf sanften Trails oder die rasante Downhill-Hatz sind nur die gängigsten Spielarten. Doch zurzeit dominiert der Trend zu maximalem Downhill-Spaß. Im gleichen Zug wachsen die Federwege, Geometrien werden aggressiver und die Bikes bulliger. Doch wo bleibt da der Spaß abseits rasanter Talfahrten? Mit dieser Frage haben sich auch die Entwickler von Kavenz auseinandergesetzt. Die Antwort liefert die deutsche Schmiede mit den beiden neuen Modellen VHP12 und VHP14. Getreu dem Motto "Weniger Federweg, mehr Fahrspaß" sollen die beiden High-Pivot-Bikes, mit 120 beziehungsweise 140 Millimetern Federweg, alle Spielarten des Mountainbikens beherrschen und so für maximalen Fahrspaß sorgen. Ganz egal ob auf technischen Abfahrten, auf Cross-Country-Trails oder langen Tagestouren.
Wie der Name schon sagt, sitzt der Hauptdrehpunkt des Hinterbaus nicht wie gewöhnlich in Tretlagernähe, sondern deutlich weiter oben. Beim Einfedern vergrößert sich so der Abstand zwischen Tretlager und Hinterradachse, wodurch das Hinterrad dem Hindernis nach hinten ausweicht, anstatt daran “hängen” zu bleiben. Der Nachteil: Je größer die Kettenstrebenlängung, desto mehr zieht die Kette das Kettenblatt beim Einfedern zurück. Je nach Kettenzug führt das zu negativen Einflüssen auf das Fahrwerk und zu Pedalrückschlag. Um das Fahrwerk von diesen Antriebseinflüssen zu entkoppeln, läuft die Kette bei High-Pivot-Bikes für gewöhnlich über eine Umlenkrolle nahe dem Drehpunkt.
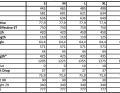
Bei den neuen Modellen handelt es sich nicht um eigenständige Neuentwicklungen, sondern lediglich um eine Erweiterung der bestehenden VHP-Plattform (V7). Dank unterschiedlicher Dämpferaufnahmen und angepassten Fahrwerks-Spezifikationen ist es möglich, mit ein und derselben Rahmenplattform, das Enduro VHP16 (160 mm Federweg) in das Down-Country-Bike VHP12 zu verwandeln. Ebenfalls neu ist die Trailbike-Variante VHP14. Ein Aufbau als Freeride-, All-Mountain- oder Downhill-Bike ist ebenfalls möglich. Dank variabler Ausfallenden (+10 mm oder +20 mm) können alle Modelle - bis auf das VHP12 - mit 29er-Laufrädern oder im Mullet-Setup gefahren werden. Typisch Kavenz: Alle Bikes setzen auf Aluminium als Werkstoff.
Sowohl das VHP12 als auch das VHP14 sind ab sofort auf der Kavenz-Website erhältlich. Der Preis für den Rahmen beider Modelle liegt bei 2795 Euro. Das VHP12 ist auch gegen einen Aufpreis von 470 Euro als Rahmenset mit einem Fox-Float-X-Dämpfer erhältlich. Beim VHP14 beinhaltet das Rahmenset den Hover-Dämpfer von Intend. Aufpreis: 1079 Euro. Überdies hat man die Möglichkeit, auf der Hersteller-Website sein Komplett-Bike nach Wunsch selbst zu konfigurieren. Verfügbare Rahmengrößen: S, M, L, XL, 2XL, 3XL.
Auch das kurzhubigste Bike im Kavenz-Lineup besitzt die Gene des bewährten Enduros VHP16. Nur eben mit 120 mm Federweg. Das heißt: mehr Traktion an steilen Anstiegen als andere XC-Bikes aber auch etwas mehr Gewicht (3,28 kg Rahmengewicht Gr. M) und Reibungsverluste wegen der aufwendigen Hinterbaukonstruktion. Doch die eigentlichen Vorteile des High-Pivot-Designs kommen erst bergab zum Vorschein. Hier darf man auf viel Fahrsicherheit bei hohen Geschwindigkeiten hoffen. Denn die nach hinten gerichtete Raderhebungskurve des High-Pivot-Hinterbaus zieht beim Einfedern den Radstand in die Länge. Das stabilisiert, hemmt aber auch den Spieltrieb. Somit dürfte sich das VHP12 eher für technische Trail-Touren als für lange Marathons oder XC-Rennen empfehlen.
Beim Kavenz VHP14 handelt es sich um die abgespeckte Variante des Enduros VHP16. Lediglich etwas weniger Dämpferhub und eine kürzere Gabel unterscheiden die beiden Bikes. Die Dämpferaufnahme bleibt gleich. Laut Kavenz eignet sich die Mixtur aus der Enduro-Geometrie und etwas weniger Federweg (140 Millimeter) perfekt für Enduristen, die auch auf ihren zahmeren Hometrails Spaß haben wollen. Denn mit etwas mehr Gegenhalt im Fahrwerk und weniger Reserven bergen auch gemäßigte Strecken Herausforderungen und Spaßpotential.

Redakteur